26++ Contoh Soal Fungsi Logaritma Asli

Download rangkuman contoh soal eksponen logaritma dalam bentuk pdf klik disini. Utbk 2019 eksponen utbk 2019 limit aljabar utbk 2019 garis singgung utbk 2019 integral pada fungsi periodik gempar.

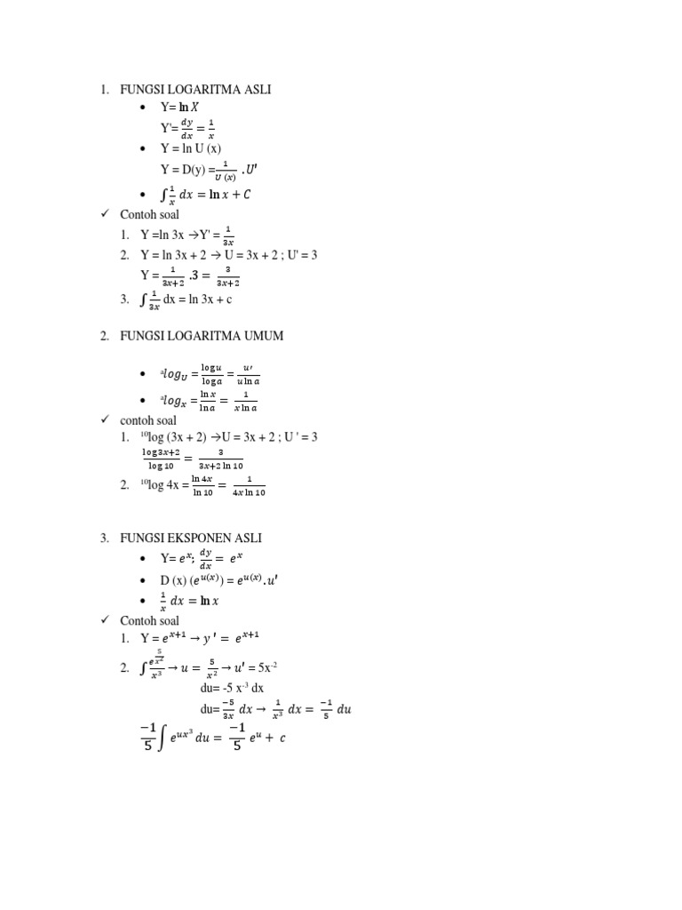
Fungsi Logaritma Asli Kel 6 Kelas C
Sumber : id.scribd.com



Belajar Matematika Online Turunan Fungsi Logaritma Natural
Sumber : soulmath4u.blogspot.com



Fungsi Logaritma Asli
Sumber : id.scribd.com



1 0 atau lebih umumnya jika 0 1 0 contoh.

Contoh soal fungsi logaritma asli. 10 2 3 1 teorema. Berikut ini adalah download silabus dan rpp kurikulum 2013 sdmismpmtssmasmkma semester 1 lengkap yang merupakan kumpulan file dari berbagi sumber 2017 tentang. Fungsi eksponen dan logaritma matematika bentuk eksponen juga dapat disebut sebagai bentuk eksponensial maupun perpangkatan dengan ini disebut basis maupun bilangan pokok dan n disebut juga eksponen maupun pangkat.

Jika fungsi ini diturunkan maka turunannya adalah y 1x. Video contoh soal persamaan eksponen itulah penjelasan tentang materi lengkap fungsi eksponen dan logaritma semoga dapat bermanfaat dan jangan lupa baca juga materi yang lain seperti operasi hitung pada pecahan atau bilangan prima dan faktorisasi prima. Berikut ini penjelasan lengkap tentang logaritma mulai dari pengertian rumus sifat sifat logaritma serta contoh soal dan pembahasan.

Inilah contoh soal fungsi logaritma asli dan penyelesaiannya. Sifat sifat logaritma materi pengertian logaritma bentuk umum dan contoh soal sifat logaritma dan pembuktiannya beserta contohnya lengkap. Matematika lanjutan kalkulus 2 lecturer.

Agar lebih jelas perhatikan contoh soal berikut. Sekian ulasan mengenai rumus logaritma lengkap beserta tabel sifat logaritma dan contoh soal logaritma jawaban pembahasan yang dapat kami tuliskan kali ini. Sifat sifat logaritma asli jika a dan b bilangan positif dan r bil.

Integral logaritma asli dari contoh 2 mengimplikasikan bahwa. Ciri ciri yang berlaku dalam bilangan berpangkat rasional diantaranya yaitu. Semoga apa yang telah kita pelajari dalam artikel ini dapat bermanfaat serta menambah wawasan kita semua.

Soal asli utbk 2019. Fungsi logaritma natural ditulis dalam bentuk y ln x. Previous rangkuman contoh soal pembahasan gelombang.

Mziaul arif fakultas mipa universitas jember wwwunejacid. Tags contoh soal matematika sma eksponen logaritma matematika kelas xi pembahasan soal matematika sma rangkuman materi matematika.

Fungsi Transenden Kirim
Sumber : id.scribd.com



Kumpulan Contoh Soal Contoh Soal Aplikasi Eksponensial
Sumber : bakingupforlosttime.blogspot.com



6 1 Fungsi Logaritma Natural Youtube
Sumber : www.youtube.com



Bilangan Eksponen Pengertian Sifat Fungsi Rumus Contoh
Sumber : rumusbilangan.com



8 Fungsi Transenden Ma1114 Kalkulu I Ppt Download
Sumber : slideplayer.info



Contoh Soal Dan Jawaban Logaritma
Sumber : celestialecho.netlify.com



Doc Fungsi Transenden Ali Ihsaan Academia Edu
Sumber : www.academia.edu



Pers Fs Logaritma Universitas Brawi Logaritma Tim Dosen
Sumber : fdokumen.com



Bab 8 Fungsi Transenden Kalkulus 1
Sumber : www.slideshare.net



Belajar Matematika Online Turunan Fungsi Logaritma Natural
Sumber : soulmath4u.blogspot.com



Fungsi Eksponen Asli Dunia Informasi
Sumber : andikastz.blogspot.com



Turunan Trigonometri
Sumber : encrypted-tbn0.gstatic.com



Doc Fungsi Transenden Soal Jawab Affan Dzeko Sullivan
Sumber : www.academia.edu



Fungsi Logaritma Asli Kel 6 Kelas C
Sumber : id.scribd.com



Fungsi Transenden Nbsp Teorema Logaritma Asli Dengan Kata
Sumber : pdfslide.net



Matematika Lanjutan Kalkulus 2 01 Turunan Fungsi Logaritma Asli
Sumber : www.youtube.com



Matematika Pm 12 Mia Kisi Kisi
Sumber : studylibid.com



Soal Turunan Fungsi Ln Logaritma Natural Youtube
Sumber : www.youtube.com



8 Fungsi Transenden Ma1114 Kalkulu I Ppt Download
Sumber : slideplayer.info



Persamaan Logaritma Rumus Sifat Fungsi Dan Contoh Soal
Sumber : www.gurupendidikan.co.id



Contoh Soal Bentuk Akar Eksponen Logaritma Dan Pengertiannya
Sumber : dosenpintar.com



Bab 8 Fungsi Transenden Kalkulus 1
Sumber : www.slideshare.net



Persamaan Logaritma Pengertian Sifat Rumus Contoh Soal
Sumber : rumusbilangan.com



Soal Dan Pembahasan Integral Dasar Fungsi Eksponensial 1 5
Sumber : istanamengajar.wordpress.com



Fungsi Logaritma Dan Grafiknya Pendidikan Matematika Laman 6
Sumber : yos3prens.wordpress.com



Persamaan Logaritma Rumus Sifat Fungsi Dan Contoh Soal
Sumber : www.gurupendidikan.co.id



Fungsi Eksponen Grafik Contoh Dan Persamaanya Dosenmipa Com
Sumber : dosenmipa.com



Kalkulus Ii Fungsi Transenden
Sumber : id.scribd.com



Penyelesaian Integral Fungsi Logaritma Alami Atau Ln
Sumber : www.matjitu.com



Integral Ppt Download
Sumber : slideplayer.info



Bab 8 Fungsi Transenden Kalkulus 1
Sumber : www.slideshare.net



Penentuan Rumus Integral Fungsi Logaritma Asli Dan Penentuan
Sumber : www.youtube.com



Grafik Fungsi Logaritma Ilmu Hitung
Sumber : ilmuhitung.com



Contoh Soal Dan Pembahasan Turunan Fungsi Ln Marthamatika
Sumber : www.marthamatika.com



Soal Dan Pembahasan Turunan Fungsi Logaritma 1 3 Istana Mengajar
Sumber : istanamengajar.wordpress.com



Fungsi Transenden Fmipa Personal Blogs
Sumber : studylibid.com



Wewowewo Oktober 2014
Sumber : wewowewoyowo.blogspot.com



Fungsi Logaritma Asli Docx
Sumber : id.scribd.com



Matematika Lanjutan Kalkulus 2 05 Contoh Turunan Fungsi Implisit
Sumber : www.youtube.com



Cara Menggambar Grafik Fungsi Logaritma Idschool
Sumber : idschool.net



Ppt Modul 3 Turunan Fungsi Powerpoint Presentation Free
Sumber : www.slideserve.com



Bab 8 Fungsi Transenden Kalkulus 1
Sumber : www.slideshare.net



Agenda 1 Aturan Rantai 2 Turunan Orde Tinggi 3 Turunan Fungsi
Sumber : slideplayer.info



Modul V Turunan Fungsi Ppt Download
Sumber : slideplayer.info



Integral
Sumber : studylibid.com



Soal Turunan Perkalian Fungsi Eksponen Youtube
Sumber : www.youtube.com



Persamaan Logaritma Pengertian Sifat Rumus Contoh Soal
Sumber : rumusbilangan.com




0 Response to "26++ Contoh Soal Fungsi Logaritma Asli"

Posting Komentar

Iklan Atas Artikel

Iklan Tengah Artikel 1

Iklan Tengah Artikel 2

Iklan Bawah Artikel