21+ Contoh Soal Fungsi Pembangkit Untuk Kombinasi

Untuk mengatasi kesulitan seperti itu berikut ini disajikan sejumlah soal beserta penyelesaiannya mengenai fungsi pembangkit bagian dasar yang sangat cocok untuk anda yang baru saja mempelajarinya. Dalam materi sebelumnya kita telah.

Http Eprints Umg Ac Id 357 1 Nur 20fauziyah 20 28matematika 20diskrit 29 20 281 29 Pdf
Sumber :



Hustypevw Xdem
Sumber :



Soal Dan Pembahasan Fungsi Pembangkit Untuk Kombinasi
Sumber : mathcyber1997.com



Ada juga soal fungsi pembangkit dasar kombinasimaupun permutasi.

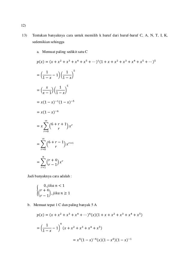
Contoh soal fungsi pembangkit untuk kombinasi. Dasar bagian 2 baca juga. Fungsi pembangkit dapat digunakan untuk menyelesaikan berbagai macam permasalahan counting. Soal dan pembahasan fungsi pembangkit untuk kombinasi.

Soal dan pembahasan fungsi pembangkit. Untuk dowload tentang fungsi pembangkit dalam kombinasi silahkan klik tautan berikut diskrit masalah kombinasi. Dasar bagian 1 baca juga.

Dengan menggunakan contoh 11 untuk rumus k n diperoleh beginalign 1x nsumk0infty 1kcnk 1kxk. Soal dan pembahasan fungsi pembangkit untuk permutasi soal nomor 1 dengan berapa cara 60 objek yang identik dapat. Mahasiswa dapat menjelaskan kembali konsep konsep yang berhubungan dengan fungsi pembangkit mahasiswa dapat menganalisis keterkaitan antara konsep dalam fungsi pembangkit.

Fungsi pembangkit merupakan salah satu teknik pemecahan masalah yang paling abstrak yang diperkenalkan dalam matematika diskrit. Bahasan ini akan memperkenalkan konsep fungsi pembangkit. Misal saja melakukan operasi diferensial.

Soal dan pembahasan fungsi pembangkit untuk permutasi. Kunci jawaban latihan soal diskret dan fungsi pembangkit. Matematika diskrit merupakan ilmu dasar dalam pendidikan informatika atau ilmu komputer.

Fungsi pembangkit dikembangkan untuk menangani batasan batasan khusus dalam pemilihan dan permasalahan arangement menyusun objek dengan pengulangan. Contoh soal matematika smp. Mahasiswa dapat mengaplikasikan konsep yang berhubungan dengan fungsi pembangkit dalam penyelesaian masalah.

Soal dan pembahasan fungsi pembangkit. Matematika diskrit memberikan landasan matematis untuk kuliah kuliah lain di informatika seperti algoritma struktur data basis data otomata dan teori bahasa formal jaringan komputer keamanan komputer sistem operasi teknik kompilasi dsb. Tinggalkan balasan batalkan balasan.

Fungsi pembangkit ini bisa kita perlakukan sebagaimana fungsi fungsi pada umumnya. Sekarang kita akan melihat beberapa aplikasi dari fungsi pembangkit untuk teknik menghitung fungsi pembangkit untuk kombinasi masalah menghitung tingkat lanjut dapat menggunakan fungsi pembangkit dalam solusinya. Hal ini membuat ada yang beranggapan bahwa fungsi pembangkit merupakan jembatan antara matematika diskrit dan kontinu.

Soal latihan kemampuan akhir yang diharapkan setelah mempelajari bab ini adalah. Kalau di dalam masalah kombinasi anda sering menghitung banyaknya cara untuk memilih suatu cara dengan bilangan yang tetap. Berikut ini merupakan soal dan pembahasan terkait kasus kombinasi yang terselesaikan dengan menggunakan prinsip fungsi pembangkit.

Bab10 Fungsi Pembangkit Dan Relasi Rekursi
Sumber : dokumen.tips



Pengertian Vektor Kombinasi Linear Bebas Linear Dan Bergantung
Sumber : www.marthamatika.com



Kapasitor Pengertian Kegunaan Rumus Dan Contoh Soal
Sumber : contohsoal.co.id



Http Bahanajar Ut Ac Id App Webroot Epub Pdf Files 322 Pema442802 Pdf
Sumber :



Fungsi Pembangkit Untuk Kombinasi
Sumber : es.scribd.com



Fungsi Pembangkit Generating Functions Ppt Download
Sumber : slideplayer.info



Fungsi Pembangkit Generating Functions Ppt Download
Sumber : slideplayer.info



Jual Buku Matematika Diskrit Oleh Dr Gede Suweken M Sc
Sumber : ebooks.gramedia.com



Course Modul Matematika 1 Topic Kb 2 Kombinatorika
Sumber : ppg.spada.ristekdikti.go.id



Soal Dan Pembahasan Fungsi Pembangkit Dasar Bagian 2
Sumber : mathcyber1997.com



Matematika Diskrit Part 1
Sumber : www.slideshare.net



Hustypevw Xdem
Sumber :



Fungsi Pembangkit Generating Functions Ppt Download
Sumber : slideplayer.info



2
Sumber :



Perbedaan Permutasi Dan Kombinasi Serta Rumus Contoh Soal
Sumber : rumusrumus.com



Http Jnte Ft Unand Ac Id Index Php Jnte Article Downloadsuppfile 313 37
Sumber :



Fungsi Pembangkit Dalam Kombinasi Abdul Muiz
Sumber : mathsoal.wordpress.com



In The World It Contoh Fungsi Pembangkit Untuk Permutasi
Sumber : intheworld-it.blogspot.com



Http Jnte Ft Unand Ac Id Index Php Jnte Article Downloadsuppfile 313 37
Sumber :



Fungsi Pembangkit
Sumber : www.slideshare.net



Isnaini Rosyida Emi Pudjiastuti Mulyono Unnes Ppt Download
Sumber : slideplayer.info



Doc Kunci Jawaban Latihan Soal Diskret Dan Fungsi Pembangkit
Sumber : www.academia.edu



Matematika Diskrit Sontoh Soal Kombinasi Huruf Abcdef Youtube
Sumber : www.youtube.com



Contoh Soal Permutasi Eljq8k00yd41
Sumber : idoc.pub



Pdf Modul Matematika Diskrit Siti Sundari Academia Edu
Sumber : www.academia.edu



Doc Kunci Jawaban Latihan Soal Diskret Dan Fungsi Pembangkit
Sumber : www.academia.edu



Fungsi Pembangkit
Sumber : www.slideshare.net



Matematika Diskrit Penjelasan Kombinasi Youtube
Sumber : www.youtube.com



Matematika Diskrit Part 1
Sumber : www.slideshare.net



Fungsi Pembangkit Animath
Sumber : animath1994.wordpress.com



Soal Dan Pembahasan Fungsi Pembangkit Untuk Kombinasi
Sumber : mathcyber1997.com



Hustypevw Xdem
Sumber :



Pokok Bahasan Matematika Diskrit
Sumber : studylibid.com



Fungsi Pembangkit Rizka Indayani Academia Edu
Sumber : www.academia.edu



Fungsi Pembangkit Generating Functions Ppt Download
Sumber : slideplayer.info



Matematika Diskrit Penjelasan Kombinasi Youtube
Sumber : www.youtube.com



Soal Dan Pembahasan Fungsi Pembangkit Untuk Kombinasi
Sumber : mathcyber1997.com



37 Pertemuan Ke 11 Bab Vi Fungsi Pembangkit Fungsi Pembangkit
Sumber : www.coursehero.com



Http Firmanwahyuit Blogspot Com 2014 06 Matematika Diskrit Html
Sumber :



Pendahuluan Dalam Matematika Deret Taylor Adalah Representasi
Sumber : slideplayer.com



Fungsi Pembangkit
Sumber : id.scribd.com



Matematika Diskrit Fungsi Pembangkit Part 4
Sumber : www.slideshare.net



Konsep Dasar Perhitungan Permutasi Dan Kombinasi Marthamatika
Sumber : www.marthamatika.com



Fungsi Pembangkit Utk Kombinasi
Sumber : id.scribd.com



Fungsi Pembangkit
Sumber : www.slideshare.net



Fungsi Pembangkit Generating Functions Ppt Download
Sumber : slideplayer.info



Fungsi Pembangkit Generating Functions Ppt Download
Sumber : slideplayer.info




0 Response to "21+ Contoh Soal Fungsi Pembangkit Untuk Kombinasi"

Posting Komentar

Iklan Atas Artikel

Iklan Tengah Artikel 1

Iklan Tengah Artikel 2

Iklan Bawah Artikel