19+ Contoh Soal Tkb Guru Olahraga

Diprediksi soal tes kompetensi bidang tkb bagi pelamar cpns 2018 formasi guru kelas sd tidak akan jauh dengan soal uji kompetensi guru ukg yang telah dilaksanakan oleh kemendikbud. Silahkan download juga contoh soal skb guru olahraga 2018 dan jawabannya yang versi berbayar.

Jual Buku Tes Skb Guru Sd Adaptasi Buku Ukg Terupdate Jakarta
Sumber : www.tokopedia.com



Pengumuman Hasil Skd Kemenkumham Di Cpns Kemenkumham Go Id Dan Cat
Sumber : jogja.tribunnews.com



Formasi Lowongan Cpns Kab Kendal 2019 Lulusan Sma D3 S1
Sumber : www.tipssehatcantik.com



Pastinya soal tkb guru penjaskes ini akan berguna bagi anda yang ingin mengikuti seleksi cpns 2019 pada jabatanformasi guru penjaskes.

Contoh soal tkb guru olahraga. Berikut ini kami sajikan link download contoh soal tkb guru sd soal tes cpns guru matematika soal tes cpns guru contoh soal tkb guru matematika soal cpns guru sd pdf tes kemampuan bidang keguruan kependidikan pedagogik download soal tkb guru pdf soal tes kompetensi bidang pendidikan. Contoh teks diskusi setelah sebelumnya contohsoalcoid telah menerangkan materi tentang contoh teks editorial maka pada pertemuan kali ini akan kembali contohsoalcoid sampaikan materi tentang contoh teks diskusi intertnet sampah olahraga banjir dan hp. Tes seleksi kompetensi bidang merupakan suatu tes yang dikhususkan terhadap jurusan yang akan di ambil oleh pelamar.

Berikut ini adalah tautan yang bisa kami lampirkan terkait contoh soal tes skb cpns 2018 formasi guru. Soal soal skb guru mata pelajaran tentu tidak akan lepas dari 4 jenis kompetensi guru yang dipersyaratkan yakni kompetensi pedagogik kepribadian profesional dan sosial. Tes tkb pada seleksi penerimaan cpns tahun 2018 ini menguji kompetensi kemampuan dan kecakapan seorang tenaga pengajar.

Icpns lolos cpns 2018. Latihan soal tes seleksi kompetensi bidang skb tkb guru kelas sd tahun 2018sebelumnya perlu ditegaskan kepada para calon guru bahwa ini hanya contoh soal skb guru sd danatau soal skb guru tk. Contoh soal cpns guru penjaskes 2019 adalah merupakan postingan yang akan saya bagikan kali ini.

Skb guru bahasa inggris. Itulah tadi contoh soal cpns 2018 tkb khusus guru yang sudah kita bahas besama sama teman pelamar cpns selamat kepada anda yang telah lolos tes tkd tes kompetensi dasar di instansi masing masing. Skb guru ipa smp.

Contoh soal cpns 2018 dan pembahasannya download contoh soal cpns 2018 beserta jawabannya. Skb guru kimia sma. Tentu semakin banyak contoh soal skb guru olahraga yang anda pelajari maka akan semakin baik.

Skb guru fisika sma. Jika anda merasa contoh soal skb guru olahraga gratis masih kurang. Maka berdasarkan prediksi soal tes seleksi kompetensi bidang skb tkb guru mata pelajaran tidak akan jauh dari soal uji kompetensi guru ukg.

Download 7 paket soal skb tkb test cpns 2018 beserta. Skb guru ips smp. Soal soal seleksi kompetensi bidang skb.

Contoh soal soal skb guru olahraga contoh soal soal skb cpns guru olaharaga lolos cpns 2018. Soal soal skb skb guru olahraga 2018 yang saya bagikan ini berformat file pdf. Nah untuk lebih jelasnya bisa sobat simak ulasan selengkapnya di bawah ini.

Contoh soal cpns 2018 dan pembahasannya. Contoh soal cpns 2019 guru penjaskes ini tersedia juga dengan kunci jabawan dan pembahasannya.

Ini Link Latihan Materi Soal Tes Skb Cpns 2018 Formasi Guru Hingga
Sumber : belitung.tribunnews.com



Contoh Soal Skb Cpns Semua Formasi Tosoalcpns Com
Sumber : tosoalcpns.com



Download Soal Tes Cpns Tkb Guru Terlengkap Portal Edukasi Dan
Sumber : www.pgrionline.com



Download Contoh Soal Tes Skb Cpns 2018 Formasi Guru Infoguruku
Sumber : www.infoguruku.net



Skb Guru Olahraga
Sumber : id.scribd.com



Https Encrypted Tbn0 Gstatic Com Images Q Tbn 3aand9gcrym P3azfzyxjvoozfeyxlw9oisxwgn5uhtvaubinqbb24oxyu
Sumber :



Contoh Materi Dan Soal Skb Cpns 2019 Semua Formasi
Sumber : www.asikandroid.com



Contoh Soal Tkb Terbaru Dan Jawabannya 2018 Bukapintu
Sumber : bukapintu.co



Contoh Soal Skb Guru Bahasa Inggris Cpns 2018 Latihan Soal Cpns
Sumber : latihansoalcpns2018.blogspot.com



Kumpulan Soal Cat Cpns Indonesia Photos Facebook
Sumber : www.facebook.com



Kumpulan Soal Latihan Ukg Guru Penjaskes Sd
Sumber : www.sekolahdasar.net



Contoh Soal Skb Guru Biologi Cpns 2018 Latihan Soal Cpns
Sumber : latihansoalcpns2018.blogspot.com



Contoh Soal Cpns 2018 Bocoran Soal Skb Penjaskes Pengalaman
Sumber : icpns.org



Soal Skb Guru Icpns
Sumber : icpns.org



Jual Buku Original Best Score Tes Cpns Cat 2019 2020 Sesuai Kisi
Sumber : www.bukalapak.com



Contoh Soal Skb Guru Penjaskes 2018 Dan Jawabannya
Sumber : yessehat.com



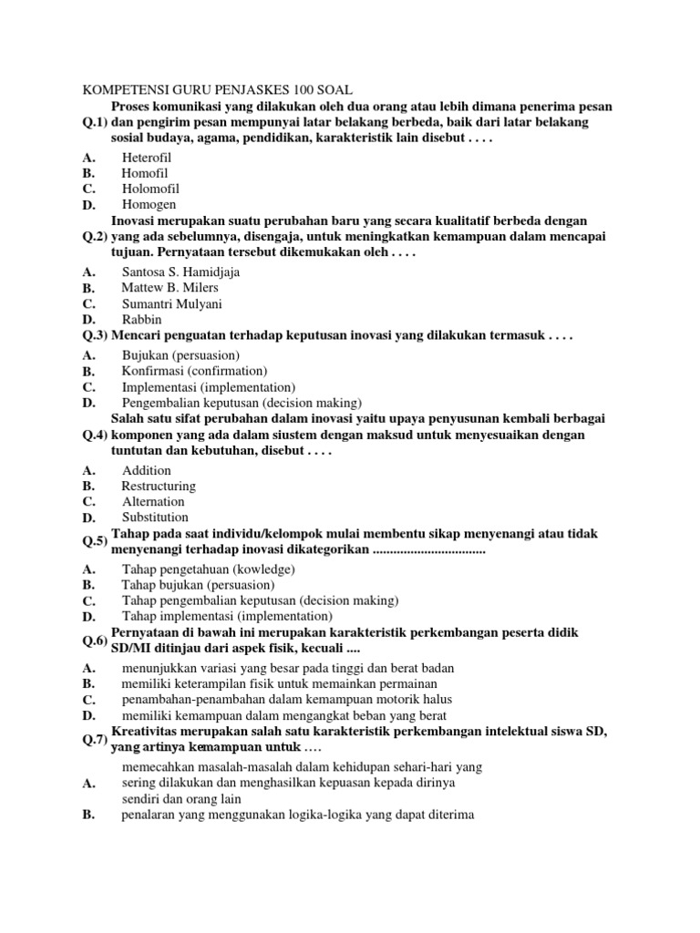
Kompetensi Guru Penjaskes 100 Soal
Sumber : id.scribd.com



6 Gndbos Mqvdm
Sumber :



Download Contoh Soal Skb Cpns 2019 Super Lengkap 74 Instansi
Sumber : infocpnsterbaru.com



200 Contoh Materi Soal Skb Seleksi Kompetensi Bidang Cpns
Sumber : contohsurat.co



Contoh Soal Skb Cpns Untuk 100 Formasi Dan Jabatan Ruang Pendidikan
Sumber : www.ruangpendidikan.site



Download Contoh Soal Skb Cpns Semua Formasi Latihan Soal Cpns
Sumber : soalcpns.infoasn.id



Contoh Soal Skb Cpns Semua Formasi
Sumber : infoasn.id



Contoh Soal Cpns 2018 Soal Skb Guru Olahraga Icpns
Sumber : icpns.org



Resmi Kisi Kisi Ujian Skb Cpns 2020 Serta Contoh Soal Skb
Sumber : mamikos.com



Contoh Soal Skb Cpns Semua Formasi Tosoalcpns Com
Sumber : tosoalcpns.com



Kisi Kisi Materi Bentuk Soal Prediksi Tes Skb Guru Pkn Youtube
Sumber : www.youtube.com



Lulus Passing Grade Belum Tentu Ikut Skb Pontianak Post
Sumber : pontianakpost.co.id



Resmi Kisi Kisi Ujian Skb Cpns 2020 Serta Contoh Soal Skb
Sumber : mamikos.com



Download Di Sini Contoh Soal Tes Skb Cpns 2018 Untuk Formasi Guru
Sumber : banjarmasin.tribunnews.com



Inilah Pengalaman Saya Tes Cpns 2017 Dari Awal Sampai Lulus
Sumber : irfanhikmatiar.com



Daftar Link Download Koleksi Soal Soal Skb Cpns 2018
Sumber : www.tipscpns.com



Contoh Soal Skb Guru Penjaskes Cpns 2018 Latihan Soal Cpns
Sumber : latihansoalcpns2018.blogspot.com



Soal Dan Jawaban Ukg Ulang Atau Utn Plpg 2017
Sumber : www.sekolahdasar.net



Soal Tkb Guru Olahraga Icpns Qwerty
Sumber : qwerty.co.id



Contoh Soal Cpns 2019 Guru Olahraga Dan Jawabannya
Sumber : yessehat.com



Download Kumpulan Soal Seleksi Kemampuan Bidang Skb Cpns Semua
Sumber : www.ilmubeton.com



Contoh Soal Skb Guru Olahraga Cpns 2019 Situs Guru
Sumber : www.guruyes.com



Soal Skb Cpns Guru Olahraga 1 0 Apk Androidappsapk Co
Sumber : androidappsapk.co



Contoh Soal Cpns Bocoran Soal Skb Penjaskes Qwerty
Sumber : qwerty.co.id



10 Peserta Mangkir Tes Skb Cpns Hari Pertama Di Sragen Solopos
Sumber : www.solopos.com



Palangka Raya Buka 69 Formasi Guru
Sumber : www.borneonews.co.id



Lmndqjrfumdmmm
Sumber :



Contoh Soal P3k Cpns Tenaga Pendidik Kisi Kisi Latihan Soal
Sumber : icpns.org



Hl Bqvkh1qwk9m
Sumber :



Ini Kisi Kisi Tes Skb Cpns 2018 Pelajari Dengan Serius
Sumber : www.brilio.net



Contoh Soal Skb Guru Pai Cpns 2019 Situs Guru
Sumber : www.guruyes.com




0 Response to "19+ Contoh Soal Tkb Guru Olahraga"

Posting Komentar

Iklan Atas Artikel

Iklan Tengah Artikel 1

Iklan Tengah Artikel 2

Iklan Bawah Artikel