30+ Contoh Soal Gelombang Berjalan Kelas Xii

Pengertian gelombang gelombang mekanik gelombang transve fisika zone belajar fisika online materi fisika pembahasan soal fisika. October 23 2018 admin leave a comment.

Http Www Repository Uinjkt Ac Id Dspace Bitstream 123456789 40100 1 Assifa 20fauziah Fitk
Sumber :



Soal Gelombang Bunyi
Sumber : yoskin.wordpress.com



Contoh Contoh Gelombang Dalam Kehidupan Sehari Hari
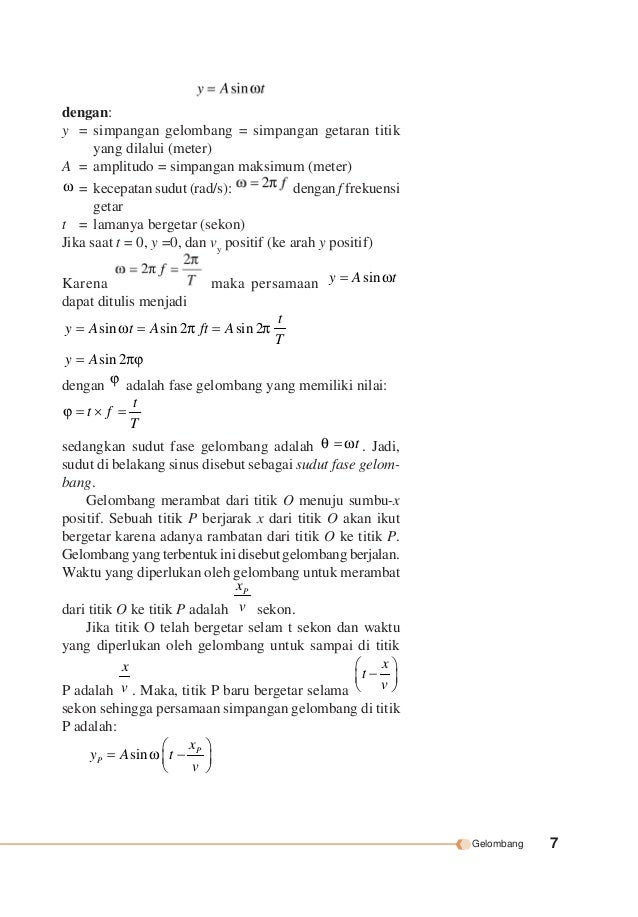
Sumber : id.scribd.com



Padahal secara konsep dan pengerjaan soal tersebut cukup mudah.

Contoh soal gelombang berjalan kelas xii. Contoh soal gelombang berjalan beserta pembahasannya gelombang berjalan adalah gelombang yang merambat dengan amplitudo tetap. Inilah pembahasan selengkapnya mengenai contoh soal gelombang berjalan kelas xii. Pembahasan soal gelombang ini untuk sma kelas 12 pada materi gelombang meliputi sub materi berikut.

Berikut adalah detail contoh soal gelombang berjalan kelas xii. Gelombang berjalan adalah gelombang yang amplitudo dan fasenya sama di. Tags contoh soal fisika fisika kelas xi gelombang pembahasan soal fisika rangkuman materi fisika.

Gelombang berjalan dengan amplitudo tetap. Secara umum persamaan simpangan di suatu titik sembarang pada tali misalnya titik p yang berjarak x dari titik asal getaran adalah sebagai berikut. Persamaan gelombang transversal yang merambat pada suatu dawai y 3 sin p 120 t 04 x.

Bermanfaat sekali min postingannya sangat membantu sekedar info. Gelombang berjalan rumus dan contoh soal dalam banyak versi soal ujian nasional fisika pasti keluar yang namanya soal mengenai gelombang berjalan. Admin blog contoh soal terbaru 2019 juga mengumpulkan gambar gambar lainnya terkait contoh soal gelombang berjalan kelas xii dibawah ini.

Beberapa murid yang saya ajar kadang masih bingung mengerjakan soal soal tentang gelombang berjalan tersebut. Download rangkuman contoh soal gelombang dalam bentuk pdf klik disini. Remedial fisika bab 1 dan 2.

Contoh soal gelombang berjalan beserta pembahasannya. Soal no1 un 2014. Jika x dan y dalam cm dan t dalam detik maka panjang gelombangnya adalah.

Gelombang berjalan contoh soal un. Nomor 1 diberikan sebuah persamaan gelombang y 002 sin 10pt 2px dengan t dalam sekon y dan x dalam meter. Rumuscoid setelah sebelumnya kita membahas tentang massa jenis air kali ini kita akan membahas materi tentang pengertian gelombang berjalan adalah kita akan jabarkan secara detail dan lengkap dari mulai definisi macam macam sifat sifat rumus beserta contoh soal gelombang berjalan dan pembahasannya lengkap.

Contoh soal pembahasan. Persamaan gelombang berjalan pada seutas tali dinyatakan oleh x dan y dalam cm dan t dalam sekon. 100 soal 50 esay dan 50 pg.

Ppt Gelombang Berjalan Powerpoint Presentation Free Download
Sumber : www.slideserve.com



Kelas12 Fisika Suharyanto
Sumber : www.slideshare.net



Modul Fisika Xii 2012
Sumber : www.yumpu.com



Gelombang Berjalan Contoh Soal Un Gurumuda Net
Sumber : gurumuda.net



Kelas Xii
Sumber : fisikakontekstual.com



Pembahasan Soal Gelombang Gurumuda Net
Sumber : gurumuda.net



Contoh Soal Gelombang Berjalan Belajar Sastra Dan Seni
Sumber : senidansastrapopuler.blogspot.com



Fisika Xii Buku Sekolah Elektronik Mafiadoc Com
Sumber : mafiadoc.com



Http Www Repository Uinjkt Ac Id Dspace Bitstream 123456789 40100 1 Assifa 20fauziah Fitk
Sumber :



Pdf Pengembangan Modul Pembelajaran Fisika Berbasis Problem Based
Sumber : www.researchgate.net



Fisika Sma Gelombang Gelombang Berjalan Soal 1 Youtube
Sumber : www.youtube.com



Gelombang Bunyi Cepat Rambat Bunyi Di Udara Yang Dipengaruhi Oleh
Sumber : docplayer.info



Konsep Dan Contoh Soal Energi Potensial Listrik Fisika Sma Kelas
Sumber : www.lakonfisika.net



Contoh Soal Fisika Materi Gelombang Kata Sambutan Dalam Bahasa
Sumber : katasambutanterbaru.blogspot.com



Contoh Soal Gelombang Berjalan Ppt Download
Sumber : slideplayer.info



Gelombang Berjalan Fisika Pak Salim
Sumber : www.fisika.idsalim.com



Pengertian Prinsip Superposisi Gelombang Contoh Soal Kunci
Sumber : www.nafiun.com



Ilmu Pengetahuan 2 Contoh Soal Fisika Gelombang Berjalan Dan
Sumber : ilmupopuler2.blogspot.com



1 Gelombang Bunyi Riana Veby Academia Edu
Sumber : www.academia.edu



Kumpulan Soal Dan Pembahasan Fisika Gelombang Bunyi Pipa Organa
Sumber : gurubaru.com



Soal Dan Pembahasan Bunyi Docx Document
Sumber : fdokumen.com



Https Media Neliti Com Media Publications 124294 Id Konsistensi Konsepsi Siswa Melalui Pener Pdf
Sumber :



Contoh Soal Gelombang Berjalan Ppt Download
Sumber : slideplayer.info



Bab 1 Gelombang Bab2 Listrik Statis Bab3 Kemagnetan Bab4 Rangkaian Ar
Sumber : www.slideshare.net



Http Eprints Uny Ac Id 38469 1 6 20putri 20widyaningsih Pend 20fisika 12302243002 Pdf
Sumber :



Faisal Suwandi Kelompok Ppt Download
Sumber : slideplayer.info



Gelombang Berjalan Rumus Dan Contoh Soal
Sumber : rumushitung.com



Contoh Soal Gelombang Berjalan Beserta Pembahasannya Fokus Fisika
Sumber : fokusfisika.com



Http Guraru Org Wp Content Uploads 2014 07 5 Rpp 3 2o11 Kepmad Br Smstr 1 Pdf
Sumber :



Konsep Dan Contoh Soal Dinamika Rotasi Fisika Sma Kelas 11
Sumber : www.lakonfisika.net



Gelombang Stasioner Ppt
Sumber : www.slideshare.net



Gelombang Cahaya Gelombang Bunyi Dan Optika Fisis
Sumber : id.scribd.com



Cara Cepat Menentukan Letak Simpul Perut Gelombang Stasioner
Sumber : www.youtube.com



Ppt Gelombang Berjalan Powerpoint Presentation Free Download
Sumber : www.slideserve.com



Contoh Soal Fisika Bab Gelombang Bunyi Kumpulan Ilmu Dan
Sumber : ensiklopediilmupopuler716.blogspot.com



Kumpulan Soal Dan Pembahasan Fisika Gelombang Bunyi Pipa Organa
Sumber : gurubaru.com



Ruang Belajar Siswa Kelas 6 Contoh Soal Fisika Gelombang Bunyi
Sumber : ensiklopediilmupopuler477.blogspot.com



Pengertian Gelombang Jenis Gelombang Dan Besaran Gelombang
Sumber : fisikazone.com



Gelombang Berjalan Fisika Pak Salim
Sumber : www.fisika.idsalim.com



20 Contoh Soal Pilihan Ganda Getaran Dan Gelombang Beserta
Sumber : materikimia.com



Soal Soal Dan Jawaban Fisika Kelas Xii Semester Ganjil
Sumber : www.bahanbelajar.com



Berikut Ini Ditampilkan Beberapa Contoh Soal Materi Gelombang
Sumber : dokumen.tips



Modul Gelombang Bunyi Modul Fisika Untuk Sma Ma Kelas 11
Sumber : idslide.net



Gelombang Bunyi Pengertian Sifat Sifat Karakteristik Contoh
Sumber : www.imronweb.com



Gelombang Berjalan Dan Stasioner Fisika Kelas 11 Quipper Blog
Sumber : www.quipper.com



Kelas Xii
Sumber : fisikakontekstual.com



Bahas Tuntas 1001 Soal Fisika Sma Shopee Indonesia
Sumber : shopee.co.id




0 Response to "30+ Contoh Soal Gelombang Berjalan Kelas Xii"

Posting Komentar

Iklan Atas Artikel

Iklan Tengah Artikel 1

Iklan Tengah Artikel 2

Iklan Bawah Artikel